반응형
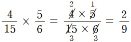
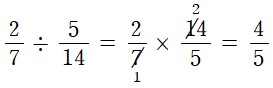
분수 계산기 프로그램
/
/



728x90
반응형
'Tip' 카테고리의 다른 글
| 공공데이터를 활용한 음력 계산기 (2) | 2024.06.03 |
|---|---|
| 이미지(jpg, png, ...) to PDF 변환 프로그램 (1) | 2024.05.30 |
| 웹에서 하는 사진 편집 프로그램 (Crop, Resize) (0) | 2024.05.30 |
| 증감율, 달성률 계산기 (1) | 2024.05.27 |
| 글자수세기 프로그램 (글자 수, byte 크기) (0) | 2024.05.25 |
| [연말정산] 2024 신용카드 등 사용금액 소득공제 (1) | 2024.05.20 |
| [홈택스] "중소기업 취업자 소득세 감면" 신청내용 확인하기 (1) | 2024.05.15 |
| [종합소득세] 기타소득에서의 필요경비 적용 (1) | 2024.05.15 |